|
A Fast Offshore Cruiser - Appendices. A.6. - Plywood and laminate analysis. |
|
Layer thickness (mm) |
Transverse properties |
|||||
|---|---|---|---|---|---|---|
|
Set-up |
Ply |
Teak |
I (mm4) |
E (N/mm2) |
EI (Nmm2) |
Z (mm3) |
|
A |
6 |
*** |
18000 |
2438 |
44 |
6000 |
|
B |
9 |
*** |
60750 |
2438 |
148 |
13500 |
|
C |
12 |
*** |
142923 |
3249 |
464 |
23880 |
|
D |
6+4 |
*** |
174793 |
3271 |
572 |
25801 |
|
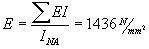
E |
6+9 |
6 |
885730 |
1436 |
1272 |
110740 |
|
Layer thickness (mm) |
Longitudinal properties |
|||||
|
Set-up |
Ply |
Teak |
I (mm4) |
E (N/mm2) |
EI (Nmm2) |
Z (mm3) |
|
A |
6 |
*** |
18000 |
8309 |
150 |
6000 |
|
B |
9 |
*** |
60750 |
8309 |
505 |
13500 |
|
C |
12 |
*** |
142923 |
7498 |
1072 |
23880 |
|
D |
6+4 |
*** |
84799 |
7285 |
618 |
14797 |
|
E |
6+9 |
6 |
797220 |
8251 |
6578 |
65558 |
Solid wood E values relative to grain (N/mm2).
|
Wood |
Longitudinal |
Transverse |
|---|---|---|
|
Teak |
12400 |
413 |
|
Mahogany |
10400 |
347 |
Longitudinal = with face grain
Transverse = perpendicular to face grain
Grain of all face layers are parallel, including teak.
All units are mm, mm3, mm4, N/mm2 or MNmm2.
Table of set-up mass per square meter.
|
Set-up |
Ply |
Teak |
Kg/m2 |
|---|---|---|---|
|
A |
6 |
*** |
2.52 |
|
B |
9 |
*** |
3.78 |
|
C |
12 |
*** |
5.03 |
|
D |
6+4 |
*** |
4.20 |
|
E |
6+9 |
6 |
10.08 |
|
ply |
t mm |
d mm |
E N/mm^2 |
Etd |
Et |
|---|---|---|---|---|---|
|
teak |
6 |
3 |
413 |
7434 |
2478 |
|
1 |
1.80 |
6.60 |
347 |
2748 |
416.4 |
|
2 |
1.80 |
7.80 |
10400 |
97344 |
12480 |
|
3 |
1.80 |
9.00 |
347 |
3748 |
416.4 |
|
4 |
1.80 |
10.20 |
10400 |
127296 |
12480 |
|
5 |
1.80 |
11.40 |
347 |
4747 |
416.4 |
|
6 |
1.20 |
12.60 |
347 |
5247 |
416.4 |
|
7 |
1.20 |
13.80 |
10400 |
172224 |
12480 |
|
8 |
1.20 |
15.00 |
347 |
6246 |
416.4 |
|
9 |
1.20 |
16.20 |
10400 |
202176 |
12480 |
|
10 |
1.20 |
17.40 |
347 |
7245 |
416.4 |
|
totals |
18 |
636455 |
54896.4 |
|
ply |
A |
Y |
AY^2 |
Ig |
Ina |
EI Nmm^2 |
|
|---|---|---|---|---|---|---|---|
|
teak |
6000 |
10.00 |
600210 |
18000 |
618210 |
255320547 |
|
|
1 |
1800 |
6.10 |
67016 |
486 |
67502 |
23423316 |
|
|
2 |
1800 |
4.30 |
33309 |
486 |
33795 |
351468373 |
|
|
3 |
1800 |
2.50 |
11266 |
486 |
11752 |
4077847 |
|
|
4 |
1800 |
0.70 |
886 |
486 |
1372 |
14273020 |
|
|
5 |
1800 |
-1.10 |
2171 |
486 |
2657 |
922010 |
|
|
6 |
1200 |
-2.30 |
6338 |
144 |
6482 |
2249381 |
|
|
7 |
1200 |
-3.50 |
14685 |
144 |
14829 |
154225094 |
|
|
8 |
1200 |
-4.70 |
26488 |
144 |
26632 |
9241411 |
|
|
9 |
1200 |
-5.90 |
41747 |
144 |
41891 |
435669293 |
|
|
10 |
1200 |
-7.10 |
60462 |
144 |
60606 |
21030368 |
|
|
totals |
885730 |
1271900661 |
|||||

![]()
![]()
![]()
| Goto Appendix(A1:A2:A3:A4:A5:A6:A7:A8:B1:B2:B3:C1:C2:D1:D2:D3:D4:D5:E1:E2:E3) | Top of the page. |